
试剂/ELISA 试剂盒
已认证
试剂/抗体
已认证
试剂
已认证
ELISA 试剂盒/试剂/耗材
已认证
抗体
已认证
试剂
已认证
抗体/蛋白质/抗原/多肽/试剂
已认证
分子生物学
已认证
抗体/试剂
已认证
试剂
已认证
抗体/ELISA 试剂盒/试剂
已认证
试剂
已认证
试剂
已认证
抗体
已认证
抗体/蛋白质/抗原/多肽
已认证
试剂
已认证
试剂
已认证
抗体/试剂
已认证
试剂
已认证
抗体
已认证
抗体/试剂
已认证
抗体/蛋白质/抗原/多肽
已认证
ELISA 试剂盒
已认证
ELISA 试剂盒
已认证
抗体
已认证
试剂
已认证
ELISA 试剂盒/试剂
已认证
抗体/试剂
已认证
抗体
已认证
蛋白质/抗原/多肽/试剂
已认证
试剂
已认证
试剂
已认证
试剂
已认证
试剂
已认证
化学试剂
已认证
RNAi技术/蛋白质/抗原/多肽/实验室仪器 / 设备/抗体/ELISA 试剂盒
已认证
试剂
已认证
化学试剂
已认证
试剂
已认证
试剂/耗材
已认证
试剂
已认证
试剂
已认证
试剂
已认证
试剂
已认证
试剂/抗体
已认证
技术服务
已认证
技术服务
已认证
试剂
已认证
抗体
已认证
试剂
已认证
抗体/试剂
已认证
实验室仪器 / 设备/抗体/免疫学
已认证
试剂
已认证
试剂
已认证
试剂
已认证
实验室仪器 / 设备/试剂
已认证
试剂
已认证
蛋白质相关
已认证
试剂/技术服务
已认证
试剂
已认证
ELISA 试剂盒
已认证
酶
已认证
试剂
已认证
实验室仪器 / 设备
已认证
抗体/ELISA 试剂盒/试剂/技术服务
已认证
抗体
已认证
试剂
已认证
实验室仪器 / 设备/试剂
已认证
抗体/ELISA 试剂盒/试剂
已认证
试剂
已认证
试剂
已认证
试剂
已认证
抗体/试剂
已认证
试剂
已认证
试剂
已认证
试剂
已认证
抗体/试剂
已认证
试剂
已认证
技术服务
已认证
试剂
已认证
试剂
已认证
抗体/ELISA 试剂盒/技术服务
已认证
抗体/试剂/耗材
已认证
细胞库 / 细胞培养
已认证
化学试剂
已认证
细胞库 / 细胞培养
已认证
抗体/分子生物学
已认证
蛋白质/抗原/多肽
已认证
试剂
已认证
试剂
已认证
酶/试剂
已认证
抗体/ELISA 试剂盒
已认证
细胞库 / 细胞培养
已认证
抗体/ELISA 试剂盒
已认证
试剂
已认证
抗体/ELISA 试剂盒/试剂/细胞库 / 细胞培养
已认证
试剂
已认证
试剂
已认证
试剂
已认证
免疫检测
已认证
试剂
已认证
抗体
已认证
试剂
已认证
试剂/ELISA 试剂盒
已认证
试剂/抗体
已认证
试剂
已认证
ELISA 试剂盒/试剂/耗材
已认证
抗体
已认证
试剂
已认证
抗体/蛋白质/抗原/多肽/试剂
已认证公司新闻/正文
418 人阅读发布时间:2020-10-09 17:17
葡萄糖脑苷(Glucocerebroside,葡萄糖基神经酰胺)是皮肤脂质的主要成分,在层状体的形成和维持水渗透性屏障中起重要作用。葡萄糖脑苷是乳糖神经酰胺的生物合成前体,是许多中性寡糖脂和神经节苷脂的骨架。它存在于植物、真菌和动物中,是植物中含量最丰富的鞘糖脂之一。葡萄糖脑苷往往集中在脂质筏的质膜外小叶中。据报道,葡萄糖脑苷对酪氨酸酶(黑色素生物合成的关键酶)的活性、诱导植物的防御反应以及帮助植物的质膜抵御寒冷和干旱带来的胁迫都是必不可少的。葡萄糖脑苷已被证明能够调节沿内吞途径的膜运输。

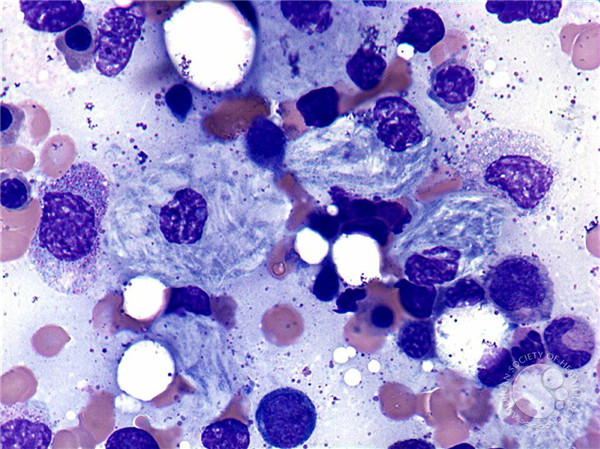
戈谢病(Gaucher Disease,GD)即葡糖脑苷脂病,是一种家族性糖脂代谢疾病,为染色体隐性遗传,是一种遗传性溶酶体贮积病。该病是由位于1号染色体上的GBA基因的隐性突变引起的,并且不分性别。葡糖脑苷脂是一种可溶性的糖脂类物质,是细胞的组成成分之一,在人体内广泛存在。由于葡萄糖脑苷酶的缺乏,导致葡萄糖脑苷和葡萄糖鞘氨醇积聚在脾脏、肝脏、肺、骨髓、大脑和淋巴结实质中。特异的戈谢氏细胞富含葡萄糖脑苷和葡萄糖鞘氨醇。戈谢氏细胞的形成导致肝和脾肿大。戈谢病影响骨骼、血液和神经系统。酶替代疗法已被证明是有效的治疗戈谢病,并已被证明改善或解决1型戈谢病的内脏问题。葡萄糖脑苷的积累也与化疗耐药有关。

根据戈谢病发病的急缓、内脏受累程度及有无神经系统症状将其分为三种类型:慢性型(非神经型、成人型、Ⅰ型)、急性型(Ⅱ型、神经型)、亚急性型(Ⅲ型、神经型)。同时根据亚急性型临床表现又分为Ⅲa、Ⅲb、Ⅲc。
由于葡糖脑苷脂酶缺乏的程度不同,临床表现会有较大的差异。主要表现:①生长发育落后于同龄人,甚至倒退;②肝脾进行性肿大,尤以脾大更明显,出现脾功能亢进、门脉高压;③骨和关节受累,可见病理性骨折;④皮肤表现为鱼鳞样皮肤改变,暴露部位皮肤可见棕黄色斑;⑤中枢神经系统受侵犯出现意识改变、语言障碍、行走困难、惊厥发作等;⑥肺部受累有咳嗽、呼吸困难、肺动脉高压;⑦眼部受累表现眼球运动失调、水平注视困难、斜视等。

艾美捷科技作为专业的生命科学领域解决方案供应商,为您推荐Matreya品牌广泛的高纯度葡萄糖脑苷标准品产品线,助力戈谢病研究。产品仅用于科研,不可用于临床与诊断。
| 产品名称及描述 | 货号 | 纯度 | 结构式 |
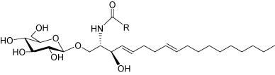
| Glucocerebrosides | 1522 | 98+% | ![]() |
| Glucocerebrosides, buttermilk | 1521 | 98+% | ![]() |
| Glucocerebrosides, Gaucher’s spleen | 1057 | 98+% | ![]() |
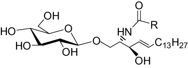
| Glucosylsphingosine, buttermilk | 1306 | 98+% | ![]() |
| Glucosylsphingosine, plant | 1310 | 98+% | |
| Glucosylsphingosine, synthetic | 2086 | 98+% | |
| N-Glycinated glucosylsphingosine | 2089 | 98+% | |
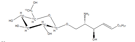
| 13C6-Glucosylsphingosine | 2209 | 98+% | ![]() |
| N-Docosanoyl-glucopsychosine | 1531 | 98+% | ![]() |
| N-Hexanoyl-glucosylceramide | 1539 | 98+% | ![]() |
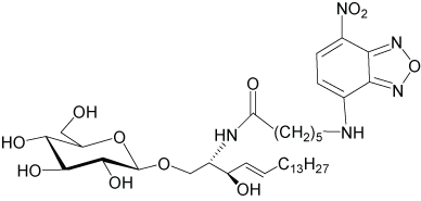
| N-Hexanoyl-biotin-glucosylceramide | 2085 | 98+% | ![]() |
| N-Hexanoyl-NBD-glucosylceramide | 1622 | 98+% | ![]() |
参考文献:
1.Walden et al. (2007) Accumulation of glucosylceramide in murine testis, caused by inhibition of beta-glucosidase 2: implications for spermatogenesis.The Journal of Biological Chemistry, Vol. 282(45) pp. 32655-32664
更多脂质产品,欢迎垂询艾美捷科技~
或者扫描下方二维码,即可联系您的专属客服哦~

作为一家具有高端的技术实力、先进的经营管理水平和完善的市场销售体系的生物高科技企业,总部位于武汉光谷高新技术开发区,服务面向全国。艾美捷科技是集进口试剂、实验室耗材销售、技术服务与合约开发为一体的专业化高科技公司,为用户提供专业的前沿资讯、完备的产品、整合的解决方案,及优质的物流服务。为了更好的服务客户,公司组建了一支经验丰富的研发团队-艾美捷生物技术中心,进入研发生产阶段,将更优质的产品推荐给国内生物领域的同仁们!
艾美捷科技与国内外优秀的生物试剂供应商优保持着密切的合作关系,目前已成为众多国际知名品牌的中国总代理或一级代理,主要包括:AmyJet、AAT Bioquest、Abnova、Agrisera、Biovision、Biosensis、Cayman Chemical、Caisson Labs、Cytoskeleton、CytoNiChe、Epigentek、Equitech-Bio、Hycult Biotech、Jackson、LifeSensors、LigaTrap、ProSpec、Norgen Biotek、Mabtech、Matreya、iRegene、StressMarq、ImmunoReagents、SouthernBiotech、Origene、US Biological、Solis BioDyne等,可以在短时间内为用户提供专业的前沿资讯、完备的产品及物流服务。

在线沟通
我的询价














