公司新闻/正文
1428 人阅读发布时间:2020-10-16 13:22

硫酸脑苷脂(Sulfatides)是3'-硫酸化的半乳糖神经酰胺,主要存在于少突胶质细胞,肾小管细胞和某些肿瘤细胞上。尽管已经观察到许多其它细胞功能,但它们主要参与神经传导和细胞粘附。硫酸脑苷脂可通过L-选择蛋白依赖性途径诱导嗜中性粒细胞内的信号传导,并为人免疫缺陷病毒幽门螺杆菌和疟疾孢子虫提供结合位点。在脑和脊髓中,硫酸脑苷脂具有不同的脂肪酰基链,包含饱和,不饱和和2-羟基脂肪酸,其组成对于影响其功能至关重要。在过去的几十年中,硫酸脑苷脂与许多生理过程有关,最近人们对它们在疾病中的作用重新产生了兴趣。
脱髓鞘疾病:硫酸脑苷脂及其代谢前体半乳糖胺均以高浓度存在于神经细胞轴突周围的多层髓鞘中,在那里参与神经传导。脑脊液中产生的抗硫酸脑苷脂抗体,导致硫酸脑苷脂缺乏,可能是髓鞘变性的原因,导致多发性硬化症和其他脱髓鞘疾病。

血小板聚集:硫酸脑苷脂与多种细胞粘附分子相互作用,例如层粘连蛋白,血小板反应蛋白,血友病因子和选择素。最近,它们被鉴定为血小板粘附聚集中P-选择素的主要配体,这是形成稳定的血小板聚集所必需的。发现表达硫酸脑苷脂的血小板粘附于P-选择素,而表达P-选择素的血小板粘附于硫酸脑苷脂。当通过形成硫酸脑苷脂胶束或引入结合有硫酸脑苷脂的重组疟疾环孢子蛋白掩盖了硫酸脑苷脂的存在时,粘附受到抑制。硫酸脑苷脂/ P-选择素的相互作用可能在止血和血栓形成中起重要作用。
白三烯合成:在粘附的人多形核白细胞中,已发现硫酸脑苷脂可通过直接抑制5-脂氧合酶并阻止其向核膜的转运而抑制白三烯的合成。这种抑制的机制可能是由于硫酸脑苷脂引起胆固醇的重新分布,从而增加了其在尾足部的丰度。
卵巢肿瘤:众所周知,癌细胞具有异常高水平的糖脂。现已被证实硫酸脑苷脂在患有晚期卵巢肿瘤患者的卵巢组织中含量升高。这些细胞中硫酸脑苷脂水平的升高可能在卵巢癌的发病机理中起作用。这些含量升高的硫酸脑苷脂可用作生物标志物来预测晚期卵巢癌的存在,即使患者在某些情况下似乎处于疾病的早期阶段。

艾美捷科技作为专业的生命科学领域解决方案供应商,为您推荐Matreya品牌广泛的高纯度硫酸脑苷脂产品线,助力您的研究。产品仅用于科研,不可用于临床与诊断。
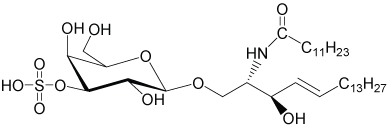
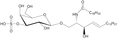
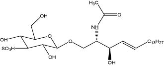
| 产品名称及描述 | 货号 | 纯度 | 结构式 |
| Sulfatides (bovine) | 1049 | 98+% | ![]() |
| lyso-Sulfatide (NH4+ salt) | 1904 | 98+% | ![]() |
| N-Acetyl-sulfatide (C2:0) | 2076 | 98+% | ![]() |
| N-Dodecanoyl-sulfatide (C12:0) | 1938 | 98+% | ![]() |
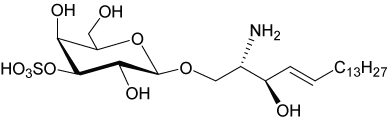
| N-Hexadecanoyl-sulfatide (C16:0) | 1875 | 98+% | ![]() |
| N-Heptadecanoyl-sulfatide (C17:0) | 1934 | 98+% | ![]() |
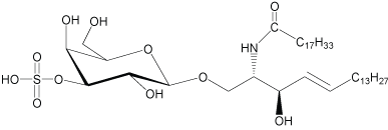
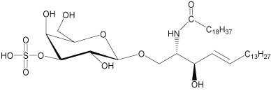
| N-Octadecanoyl-sulfatide (C18:0) | 1932 | 98+% | ![]() |
| N-Octadecenoyl-(cis-9)-sulfatide (C18:1) | 1933 | 98+% | ![]() |
| N-Nonadecanoyl-sulfatide (C19:0) | 1935 | 98+% | ![]() |
| N-Tetracosanoyl-sulfatide (C24:0) | 1888 | 98+% | ![]() |
| N-Tetracosenoyl-(cis-15)-sulfatide (C24:1) | 1931 | 98+% | ![]() |
| N-Dodecanoyl-NBD-sulfatide (C12:0 NBD) | 1632 | 98+% | ![]() |
| N-Hexanoyl-biotin-sulfatide (C6:0 biotin) | 2207 | 98+% | ![]() |
| N-Glycinated lyso-sulfatide | 2092 | 98+% | ![]() |
参考文献:
1.Halder, R.C., Jahng, A., Maricic, I., et al. Mini review: Immune response to myelin-derived sulfatide and CNS-demyelination.Neurochem. Res. 32(2), 257-262 (2007).
更多脂质产品,欢迎垂询艾美捷科技~
看到这儿,您心动了吗?马上联系小艾吧!
或者扫描下方二维码,即可联系您的专属客服哦~

作为一家具有高端的技术实力、先进的经营管理水平和完善的市场销售体系的生物高科技企业,总部位于武汉光谷高新技术开发区,服务面向全国。艾美捷科技是集进口试剂、实验室耗材销售、技术服务与合约开发为一体的专业化高科技公司,为用户提供专业的前沿资讯、完备的产品、整合的解决方案,及优质的物流服务。为了更好的服务客户,公司组建了一支经验丰富的研发团队-艾美捷生物技术中心,进入研发生产阶段,将更优质的产品推荐给国内生物领域的同仁们!
艾美捷科技与国内外优秀的生物试剂供应商优保持着密切的合作关系,目前已成为众多国际知名品牌的中国总代理或一级代理,主要包括:AmyJet、AAT Bioquest、Abnova、Agrisera、Biovision、Biosensis、Cayman Chemical、Caisson Labs、Cytoskeleton、CytoNiChe、Epigentek、Equitech-Bio、Hycult Biotech、Jackson、LifeSensors、LigaTrap、ProSpec、Norgen Biotek、Mabtech、Matreya、iRegene、StressMarq、ImmunoReagents、SouthernBiotech、Origene、US Biological、Solis BioDyne等,可以在短时间内为用户提供专业的前沿资讯、完备的产品及物流服务。
