
试剂/抗体
已认证
试剂
已认证
ELISA 试剂盒/试剂/耗材
已认证
抗体
已认证
试剂
已认证
抗体/蛋白质/抗原/多肽/试剂
已认证
分子生物学
已认证
抗体/试剂
已认证
试剂
已认证
抗体/ELISA 试剂盒/试剂
已认证
试剂
已认证
试剂
已认证
抗体
已认证
抗体/蛋白质/抗原/多肽
已认证
试剂
已认证
试剂
已认证
抗体/试剂
已认证
试剂
已认证
抗体
已认证
抗体/试剂
已认证
抗体/蛋白质/抗原/多肽
已认证
ELISA 试剂盒
已认证
ELISA 试剂盒
已认证
抗体
已认证
试剂
已认证
ELISA 试剂盒/试剂
已认证
抗体/试剂
已认证
抗体
已认证
蛋白质/抗原/多肽/试剂
已认证
试剂
已认证
试剂
已认证
试剂
已认证
化学试剂
已认证
RNAi技术/蛋白质/抗原/多肽/实验室仪器 / 设备/抗体/ELISA 试剂盒
已认证
试剂
已认证
化学试剂
已认证
试剂
已认证
试剂/耗材
已认证
试剂
已认证
试剂
已认证
试剂
已认证
试剂
已认证
试剂/抗体
已认证
技术服务
已认证
技术服务
已认证
试剂
已认证
抗体
已认证
试剂
已认证
抗体/试剂
已认证
实验室仪器 / 设备/抗体/免疫学
已认证
试剂
已认证
试剂
已认证
试剂
已认证
实验室仪器 / 设备/试剂
已认证
试剂
已认证
蛋白质相关
已认证
试剂/技术服务
已认证
试剂
已认证
ELISA 试剂盒
已认证
酶
已认证
试剂
已认证
实验室仪器 / 设备
已认证
抗体/ELISA 试剂盒/试剂/技术服务
已认证
抗体
已认证
试剂
已认证
实验室仪器 / 设备/试剂
已认证
抗体/ELISA 试剂盒/试剂
已认证
试剂
已认证
试剂
已认证
试剂
已认证
抗体/试剂
已认证
试剂
已认证
试剂
已认证
试剂
已认证
抗体/试剂
已认证
试剂
已认证
技术服务
已认证
试剂
已认证
试剂
已认证
抗体/ELISA 试剂盒/技术服务
已认证
抗体/试剂/耗材
已认证
细胞库 / 细胞培养
已认证
化学试剂
已认证
细胞库 / 细胞培养
已认证
抗体/分子生物学
已认证
蛋白质/抗原/多肽
已认证
试剂
已认证
试剂
已认证
酶/试剂
已认证
抗体/ELISA 试剂盒
已认证
细胞库 / 细胞培养
已认证
抗体/ELISA 试剂盒
已认证
试剂
已认证
抗体/ELISA 试剂盒/试剂/细胞库 / 细胞培养
已认证
试剂
已认证
试剂
已认证
试剂
已认证
免疫检测
已认证
试剂
已认证
抗体
已认证
试剂
已认证
试剂/ELISA 试剂盒
已认证
试剂/抗体
已认证
试剂
已认证
ELISA 试剂盒/试剂/耗材
已认证
抗体
已认证
试剂
已认证
抗体/蛋白质/抗原/多肽/试剂
已认证公司新闻/正文
12722 人阅读发布时间:2021-07-05 14:25
Di系列染料想必大家一定不陌生,我们做细胞膜染色的时候经常会用到,今天给大家介绍下常见的4类Di染料:DiI, DiO, DiD 和 DiR,Di系列染料是一类环境敏感型亲脂性膜染料,这类探针在进入细胞膜之前荧光非常弱,当它们与膜结合或者与亲脂性生物分子(例如蛋白质)结合时,其荧光强度显著增强。一旦应用于细胞中,这类染料会在细胞内质膜中逐步扩散,在其最佳浓度条件下,可以扩散逐渐使整个细胞的细胞膜被染色。
DiI, DiO, DiD 和 DiR被激发后可以发出不同颜色的荧光,DiO和磷酯双层膜结合后的激发光谱和发射光谱参考下图。

DiO、DiI、DiD、DiR的光谱图
DiO, DiI, DiD 和 DiR几种染料的异同:
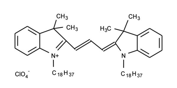
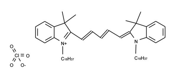
其中I、D、R分别代表了一个,两个,三个双键,它们是决定波长长度的关键,DiO, DiI, DiD 和 DiR这几款染料的结构式如下:
![]() |
![]() |
| DiO高氯酸盐结构式 | Dil高氯酸盐结构式 |
![]() |
![]() |
| DiD高氯酸盐结构式 | DiR碘化物结构式 |
DiO, DiI, DiD 和 DiR几种染料的异同:
| 名称 | 荧光颜色 | 应用 | 货号 |
| DiO(DiOC18(3)) | 绿色荧光 | • DiO被广泛用于正向或逆向的,活的或固定的神经等细胞或组织的示踪剂或长期示踪剂,通常不会明显影响细胞的生存力,对于细胞膜染色的荧光强度通常要低于DiI,有时对于某些经过固定的组织的染色效果欠佳。• 还可以用于检测细胞的融合和粘附,检测发育或移植过程中细胞迁移。 | 22066 |
| DiI (DiIC18(3)) | 橙色荧光 | • DiI被广泛用于正向或逆向的,活的或固定的神经等细胞或组织的示踪剂或长期示踪剂,通常不会影响细胞的生存力。• DiI除了最简单的细胞膜荧光标记外,还可以用于检测细胞的融合和粘附,检测发育或移植过程中细胞迁移,通过FRAP检测脂在细胞膜上的扩散,检测细胞毒性和标记脂蛋白等。 | 22102 |
| DiD (DiIC18(5)) | 红色荧光 | • DID染料的染色效率高,均一,不易猝灭,无明显细胞毒性,且受自身荧光背景干扰小。• 目前DID已成功应用于多种细胞的体内示踪研究,如Treg细胞、间充质干细胞、肿瘤细 胞、造血干祖细胞等。 | 22033 |
| DiR (DiIC18(7)) | 深红色荧光 | • DiR的红外荧光可以穿透细胞和组织,在活体成像中用来示踪。常用于标记细胞质膜。两个18-碳链插入到细胞膜,从而特定的、稳定的细胞染色,几乎不会发生细胞间的染料转移。可以用乙醇配置其储存液。• DiR 染色后可进行多聚甲醛(不可使用甲醇等其他试剂)的固定,但不建议在染色后进行透化的过程。 | 22070 |
产品优点:
1. 应用广泛:主要作用是标记细胞膜,用于活的或固定的神经元等细胞或组织的长期示踪剂,同时还可以标记其他疏水结构,例如外泌体
2. 不会影响细胞的生存力
3. 体外培养的条件下可以存活很长时间
4. 在经过固定的神经元细胞膜上的迁移速率为 0.2-0.6mm/day
5. 在活的神经元细胞膜上的的迁移速率为 6mm/day
关于染料的使用技巧:
1.DiI 可以溶解于无水乙醇、DMSO 和 DMF,溶解度约为 1-2.5mg/ml,发现较难溶解时可以适当用超声处理以促进溶解。
2.用于细胞膜荧光标记时,DiI 的常用浓度为 1-25μM,最常用的浓度为 5-10 μM。
3. DiI 可以直接染色活的细胞或组织,染色时间通常为 5-20 分钟。
4. 染固定的细胞时,通常使用 4%多聚甲醛进行固定,使用其它不适当的固定液会导致荧光背景较高。
Di家族荧光染料选择小tips:
DiI, DiO, DiD 和 DiR均可染色活细胞或固定细胞及组织(请您根据您的需求选择相应的探针),DiI比DiO荧光更亮;DiD,DiR(D12731)波长更长,更适合组织染色;
DiR应用实列赏析:
![]() |
![]() |
![]() |
![]() |
![]() |
![]() |
源文献:Novel approach for the detection of intraperitoneal micrometastasis using an ovarian cancer mouse model Journal: Scientific Reports (2017)
看到这儿,您心动了吗?马上联系小艾吧!
或者扫描下方二维码,即可联系您的专属客服哦~

作为一家具有高端的技术实力、先进的经营管理水平和完善的市场销售体系的生物高科技企业,总部位于武汉光谷高新技术开发区,服务面向全国。艾美捷科技是集进口试剂、实验室耗材销售、技术服务与合约开发为一体的专业化高科技公司,为用户提供专业的前沿资讯、完备的产品、整合的解决方案,及优质的物流服务。为了更好的服务客户,公司组建了一支经验丰富的研发团队-艾美捷生物技术中心,进入研发生产阶段,将更优质的产品推荐给国内生物领域的同仁们!
艾美捷科技与国内外优秀的生物试剂供应商优保持着密切的合作关系,目前已成为众多国际知名品牌的中国总代理或一级代理,主要包括:AmyJet、AAT Bioquest、Abbexa、Abnova、Agrisera、Anogen、Biosensis、Biovision、BioVendor、Caisson Labs、Cell Biolabs、Cytoskeleton、Demeditec、Duchefa、Epigentek、Equitech-Bio、EXBio、Fitzgerald、GeneCopoeia、Hycult Biotech、ImmunoReagents、ImmunoStep、Jackson、LifeSensors、LigaTrap、Lumiprobe、Mabtech、Matreya、Norgen Biotek、Origene、ProImmune、ProSpec、ScyTek、Solis BioDyne、SouthernBiotech、StressMarq、SySy、US Biological、TRC等,可以在短时间内为用户提供专业的前沿资讯、完备的产品及物流服务。
在线沟通
我的询价















